cours  |  td  |  examens  |  doc  |  liens  |  horaires
 Scheme

Université de Caen - UFR de Sciences
Deug MIAS-MASS
Marc Chemillier

Scheme - TD n° 2
6 mars 2003

Expressions conditionnelles, car, cdr




  • Exercices : (1h1/2)

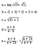
    1. Ecrire une session pour calculer les quantités :

      formule 1

      (define a (log (+ (sqrt 3) (sqrt 2))))
      
      (define b (* (+ 2 3) (+ 2 3 4)))
      
      (define c (sqrt (+ (expt 3 2) 2)))
      
      (define d (/ (+ a b) (- a b)))
      
      (define e (let ((x (/ (+ a b) (+ a b b))))
                   (- x (sqrt (/ 1 x))))
      
    2. Ecrire en Scheme l'expression calculant :

      formule 2

      (let ((a (sqrt 2)) (b (sqrt 3)) (c (sqrt 5)))
         (* (+ 1 a) (+ 1 a b) (+ 1 a b 2) (+ 1 a b 2 d)))
      
      (let* ((a (+ 1 (sqrt 2))) (b (+ a (sqrt 3)))
             (c (+ b 2)) (d (+ c (sqrt 5))))
         (* a b c d))  
      
    3. Donner les réponses de Scheme :

      > (or (> 1 2) (< 1 2)) 
      #t
      
      > (and (> 1 2) (< 1 2)) 
      #f
      
      > (not (not (> 1 2))) 
      #f
      
      > (and (not #f) (not #t)) 
      #f
      
      > (and () 2) 
      2
      
      > (and 3 4 2) 
      2
      
      > (or 5 3 1) 
      5
      
    4. Donner les réponses de Scheme :
      > (if #t #t #t) 
      #t
      
      > (if #f #f #f) 
      #f
      
      > (if #t #f #t) 
      #f
      
      > (if #f #f #t) 
      #t
      
    5. Donner les réponses de Scheme :
      > (and #t a) 
      reference to undefined identifier: a
      
      > (and #f a) 
      #t
      
      > (or #t a) 
      #t
      
      > (or #f a) 
      reference to undefined identifier: a
      
    6. Donner les réponses de Scheme :
      > (define l (list 1 2 3 4 5 6))
      
      > (car l) 
      1
      
      > (cdr l) 
      (2 3 4 5 6)
      
      > (car (cdr l)) 
      2
      
      > (list (car l) (car (cdr (cdr l)))) 
      (2 4)
      
      > (list (car l) (cdr l)) 
      (1 (2 3 4 5 6))
      
    7. Donner les réponses de Scheme :
      > (define l (cons (list 1 2) (list 3 4)))
      
      > (car (cdr l)) 
      3
      
      > (cdr (car l)) 
      (2)
      
      > (cons 1 (cdr l)) 
      (1 3 4)
      
      > (list (cdr (cdr l)) (car (car l))) 
      ((4) 1)
      
    8. Donner les réponses de Scheme :
      > (define l (cons #f (list (> 4 5))))
      
      > (cons #t (cdr (cdr l))) 
      (#t)
      
      > (list (cdr l) (car l)) 
      ((#f) #f)
      
      > (if (car l) 0 1) 
      1
      
      > (if (cdr l) 0 1) 
      0
      

  • Avec machines : (1h1/2)


    cours  |  td  |  examens  |  doc  |  liens  |  horaires
     Scheme